سبد خرید شما خالی است.
کروسین یا کروستین در زعفران چیست؟
زعفران تنها یک ادویه خوشرنگ و خوشعطر نیست؛ بلکه مجموعهای از ترکیبات فعال زیستی را در خود جای داده که هر کدام نقشی چشمگیر در ارزش غذایی و دارویی آن دارند. یکی از مهمترین این ترکیبات کروسین یا کروستین است؛ رنگدانهای قدرتمند که مسئول طیف قرمز و طلایی زعفران بوده و در سالهای اخیر توجه گسترده پژوهشگران را به خود جلب کرده است. کروستین نهتنها رنگ زعفران را شکل میدهد، بلکه بهعنوان یک عامل آنتیاکسیدانی، ضدالتهابی و محافظتکننده سلولی در مطالعات مختلف شناخته شده است. حضور ترکیبات دیگری مانند پیکروکروسین و سافرانال نیز موجب میشود زعفران در دسته ارزشمندترین گیاهان دارویی قرار گیرد. در این مطلب، به صورت علمی با کروسین، عملکرد آن در بدن و روشهای اندازهگیری آزمایشگاهی آن آشنا میشویم.
کروسین چیست؟
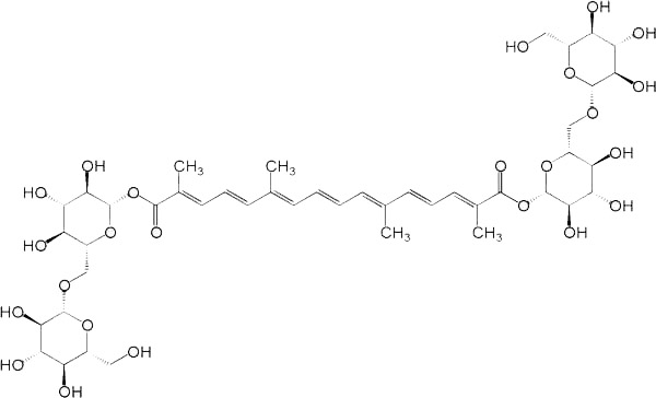
کروسین یکی از مهمترین کاروتنوئیدهای محلول در آب موجود در کلاله گل زعفران است. این ترکیب مسئول اصلی رنگپذیری سریع زعفران در آب است و به دلیل ساختار شیمیایی خاص خود، بهسرعت در محیطهای آبی پخش میشود. کروستین حاصل استری شدن مولکول کروستین با قند گلیکوزید است و همین پیوند، ویژگیهای زیستی آن را تقویت میکند. بهجز نقش رنگدهی، کروسین بهدلیل عملکرد آنتیاکسیدانی، تنظیم التهاب، تأثیر بر انتقالدهندههای عصبی و حتی توان بالقوه ضدسرطانی مورد توجه پژوهشگران قرار گرفته است. مطالعات نشان میدهد که این ماده همراه با سایر متابولیتهای زعفران مانند پیکروکروسین و سافرانال میتواند ویژگیهای درمانی مهمی در بدن انسان ایجاد کند.
متابولیتهای زعفران

زعفران مجموعهای از متابولیتهای فعال زیستی دارد که هر کدام وظیفهای مشخص در طعم، رنگ و اثرات دارویی آن ایفا میکنند. مهمترین این مواد شامل کروسین، پیکروکروسین و سافرانال هستند. کروستین عامل رنگ قرمز درخشان زعفران است، در حالی که پیکروکروسین به عنوان منبع اصلی طعم تلخ شناخته میشود. سافرانال نیز پس از فرآیند خشککردن ایجاد شده و رایحه خاص زعفران را تشکیل میدهد.
کروستین، که مولکول مادر کروسین محسوب میشود، خود یک ترکیب فعال با قابلیتهای آنتیاکسیدانی و محافظتکننده است. حضور این مجموعه متابولیتها نشان میدهد که ارزش زعفران تنها به رنگ یا عطر آن نیست، بلکه ترکیبی کمنظیر از اثرات دارویی و تغذیهای را به همراه دارد؛ به همین دلیل در طب سنتی و پژوهشهای نوین جایگاه ویژهای برای آن تعریف شده است.
خواص کروسین
کروسین مجموعهای از اثرات ارزشمند را در بدن فعال میکند که مهمترین آنها شامل خاصیت آنتیاکسیدانی، ضدالتهابی، کمک به تنظیم خلقوخو و محافظت عصبی است. این ترکیب با کاهش تولید رادیکالهای آزاد، خطر صدمات سلولی را کم کرده و از بافتهای حساس بدن محافظت میکند. پژوهشها همچنین نشان میدهد که کروستین میتواند در مهار التهابهای مزمن، کاهش استرس اکسیداتیو، حمایت از سلولهای عصبی و حتی بهبود عملکرد سیستم ایمنی نقش داشته باشد. برخی مطالعات اولیه نیز به اثرات ضدسرطانی کروسین اشاره کردهاند که البته نیازمند بررسیهای بالینی گستردهتر است.
کروسین و عملکرد آنتیاکسیدانی
یکی از مهمترین ویژگیهای کروسین، توانایی بالای آن در خنثیسازی رادیکالهای آزاد و محافظت از DNA، پروتئینها و غشاهای سلولی است. کروستین با فعالسازی آنزیمهای آنتیاکسیدان در بدن، شدت استرس اکسیداتیو را کاهش میدهد؛ فرآیندی که در بروز بیماریهایی مانند آلزایمر، پارکینسون، بیماریهای قلبی و التهابهای مزمن نقش مهمی دارد. این ترکیب علاوه بر مهار اکسیداسیون چربیها، سبب افزایش پایداری سلولهای عصبی شده و از تخریب بافتهای حساس جلوگیری میکند. همین توان بالا موجب شده کروسین بهعنوان یک عامل محافظتی طبیعی در بسیاری از مطالعات مطرح شود.
کروستین در بیماریهای سیستم عصبی
کروستین در سالهای اخیر به دلیل اثرات چشمگیر خود بر سیستم عصبی مرکزی، موضوع تحقیقات گستردهای بوده است. مطالعات نشان داده که این ترکیب میتواند با تأثیرگذاری بر انتقالدهندههای عصبی مانند دوپامین، سروتونین و نوراپینفرین، در کاهش اضطراب و افسردگی مؤثر باشد. حضور همزمان سافرانال نیز این اثرات را تقویت میکند، زیرا این ماده بر سیستم سروتونرژیک تأثیر مستقیم دارد.
همچنین آزمایشها نشان دادهاند که کروسین با مهار استرس اکسیداتیو و التهاب عصبی، از نورونها در برابر آسیبهای پیشرونده محافظت میکند؛ عملکردی که در مقابله با بیماریهایی مانند آلزایمر و پارکینسون اهمیت بالایی دارد. علاوه بر این، برخی مطالعات نشان میدهند که مصرف زعفران یا عصارههای غنی از کروستین میتواند در بهبود کیفیت خواب، کاهش اضطراب و افزایش سطح انرژی ذهنی نقش داشته باشد.
در مجموع، کروسین یکی از قویترین ترکیبات عصبیمحافظ در زعفران به شمار میرود.
کروسین و بیماریهای چشمی
سلامت چشم یکی از حوزههایی است که کروسین در آن عملکردی قابلتوجه نشان داده است. بر اساس نتایج پژوهشها، کروسین و کروستین میتوانند از سلولهای شبکیه در برابر مرگ برنامهریزیشده (آپوپتوز) محافظت کنند؛ فرایندی که در بیماریهایی مانند دژنراسیون ماکولا مرتبط با سن (AMD) بسیار مهم است. کروستین با بهبود جریان خون شبکیه، افزایش اکسیژنرسانی و کاهش التهاب، عملکرد گیرندههای نوری را تقویت میکند و مانع آسیب ناشی از نور شدید میشود.
کروستین نیز با افزایش انحلالپذیری اکسیژن در پلاسما، شرایط ایدهآلی برای تغذیه سلولهای حساس چشم فراهم میکند. ترکیب این دو ماده همراه با سایر متابولیتهای زعفران، یک ساختار محافظتی قوی علیه اختلالات بینایی ایجاد میکند. این ویژگیها موجب شده زعفران به عنوان یک مکمل مهم در مطالعات مرتبط با سلامت چشم شناخته شود.
کروستین و حافظه
کروسین با کاهش التهاب عصبی و افزایش فعالیت آنتیاکسیدانی، نقش مهمی در حفظ حافظه و یادگیری ایفا میکند. مطالعات حیوانی و انسانی نشان دادهاند که این ترکیب میتواند از تخریب نورونها جلوگیری کرده و به تثبیت اطلاعات در مغز کمک کند. همافزایی کروستین با کروستین سبب تقویت انتقال سیگنالهای عصبی و افزایش تواناییهای شناختی میشود. برخی پژوهشها نیز بیان میکنند که مصرف منظم زعفران میتواند اثرات منفی استرس، پیری و عوامل محیطی را بر حافظه کاهش دهد. بنابراین، کروسین یکی از اجزای کلیدی زعفران در حمایت از عملکرد مغزی به شمار میرود.
دیگر خواص کروسین
تحقیقات جدید نشان میدهد که کروسین در تنظیم قند خون، کاهش چربیهای خون، بهبود عملکرد کبد، و حمایت از سیستم ایمنی نیز میتواند مؤثر باشد. این ترکیب در برخی مطالعات بهعنوان عامل ضدسرطان، ضدالتهاب مفصلی و حتی تقویتکننده سلامت قلب معرفی شده است. همچنین شواهدی وجود دارد که کروستین میتواند به بهبود جریان خون و کاهش فشارهای اکسیداتیو در بافتهای مختلف کمک کند. البته برای تأیید کامل این موارد، انجام پژوهشهای بالینی بیشتر ضروری است.
تکنیکهای آزمایشگاهی برای اندازهگیری کروسین

برای اندازهگیری دقیق میزان کروسین در زعفران، از روشهای تحلیلی پیشرفته استفاده میشود که مهمترین آنها اسپکتروفتومتری و HPLC هستند. اسپکتروفتومتری بر اساس میزان جذب نور در طول موجهای اختصاصی کروستین عمل میکند و یک روش سریع و مقرونبهصرفه است. در مقابل، HPLC دقت بسیار بیشتری دارد و با جداسازی ترکیبات، امکان تعیین کمیت دقیق کروسین و سایر متابولیتها را فراهم میکند. این روش در آزمایشگاههای استاندارد برای کنترل کیفیت زعفران و ارزیابی خلوص آن کاربرد گسترده دارد.
آمادهسازی نمونه برای آنالیز کروستین
پیش از انجام تحلیلهای آزمایشگاهی، نمونه زعفران باید بهطور استاندارد آمادهسازی شود. این فرایند معمولاً شامل خردکردن دقیق، استخراج ماده فعال و جداسازی ناخالصیهاست. روشهایی مانند استخراج جامد–مایع، خیساندن یا استفاده از حلالهای مناسب برای جداسازی کروستین از رشتههای زعفران بهکار میروند. پس از استخراج، نمونهها معمولاً از فیلتر عبور داده میشوند تا برای آنالیزهای اسپکتروفتومتری یا HPLC قابل استفاده باشند. کیفیت این مرحله نقش مهمی در دقت نتایج نهایی دارد.
آنالیز اسپکتروفتومتری کروسین
در روش اسپکتروفتومتری، محلول استخراجشده زعفران در دستگاه قرار میگیرد تا میزان جذب نور در طول موجهای مخصوص کروسین اندازهگیری شود. این دادهها برای رسم منحنی کالیبراسیون بهکار میروند؛ منحنیای که رابطه جذب نوری با غلظت کروستین را نشان میدهد. بهکمک این منحنی میتوان مقدار دقیق کروسین موجود در هر نمونه زعفران را تعیین کرد. این روش سرعت بالا، سادگی و هزینه کمتر دارد، به همین دلیل در آزمایشگاههای کنترل کیفیت بسیار مورد استفاده قرار میگیرد.
تجزیه و تحلیل HPLC کروسین
HPLC یکی از دقیقترین روشهای تحلیل کروستین است. در این تکنیک، محلول نمونه از یک ستون کروماتوگرافی عبور میکند و ترکیبات مختلف بر اساس قطبیت و وزن مولکولی از یکدیگر جدا میشوند. انتخاب فاز متحرک و ستون مناسب برای جداسازی کامل کروسین اهمیت ویژهای دارد. پس از جداسازی، دستگاه غلظت دقیق کروستین را با مقایسه با استانداردهای معتبر محاسبه میکند. این روش برای تشخیص تقلب، تعیین کیفیت و بررسی خلوص زعفران بسیار کاربرد دارد.
دقت در اندازهگیری کروسین
برای بهدستآوردن نتایج دقیق، آزمایشگاهها باید از استانداردهای کروسین خالص در کالیبراسیون دستگاهها استفاده کنند. منحنیهای کالیبراسیون باید بهطور منظم بهروزرسانی و کنترل شوند تا رابطه بین غلظت و پاسخ دستگاه پایدار بماند. استفاده از تجهیزات کالیبرهشده، رعایت دقیق شرایط استخراج و جلوگیری از تجزیه نوری کروسین نیز اهمیت زیادی دارد. اجرای این موارد موجب میشود میزان کروسین در نمونههای زعفران با دقت بالا اندازهگیری شده و کیفیت محصول به شکل علمی ارزیابی شود.
مقاله های مشابه
ایده شام یلدایی + شام یلدا در شهرهای مختلف
شب یلدا، طولانیترین شب سال، در فرهنگ ایرانی تنها یک مناسبت تقویمی نیست؛ یک آیین بزرگ خانوادگی و جشن دورهمی است که طعم و عطرش با خاطرهانگیزترین غذاها گره خورده...
کروسین یا کروستین در زعفران چیست؟
زعفران تنها یک ادویه خوشرنگ و خوشعطر نیست؛ بلکه مجموعهای از ترکیبات فعال زیستی را در خود جای داده که هر کدام نقشی چشمگیر در ارزش غذایی و دارویی آن...
پک هدیه یلدایی
شب یلدا برای ما فقط یک مناسبت نیست؛ یک تجربه مشترک فرهنگی است که نسلها در آن کنار هم نشستهاند، حافظ خواندهاند، انار و هندوانه خوردهاند و با هدیه دادن...
طرز تهیه 20 دسر یلدایی
یلدا بهعنوان یکی از کهنترین جشنهای ایرانی، همیشه با جمعهای گرم خانوادگی، تنقلات رنگارنگ و دسرهای خوشرنگ و جذاب همراه بوده است. در این شب طولانی، سفرههای ایرانی با انار،...
بهترین دمنوش های کاهش فشار خون بالا + 10 دمنوش موثر
فشار خون بالا یکی از شایعترین مشکلات سلامتی در جهان است و بسیاری از افراد بهدنبال روشهای طبیعی و کمعارضه برای کنترل آن هستند. دمنوشهای گیاهی یکی از بهترین گزینهها...
یک مثقال زعفران چند گرم است؟ نحوه محاسبه + تبدیل آنلاین
زعفران بهعنوان گرانبهاترین ادویه جهان، همواره با دقت بسیار بالا وزنکشی و معامله میشود. یکی از رایجترین واحدهای اندازهگیری این محصول، مثقال است؛ واحدی سنتی که هنوز هم در بازارهای...
بهترین دمنوش ها برای لاغری، چربی سوزی و کاهش وزن
دنیای دمنوشها، گزینهای طبیعی و کمخطر برای کسانی است که به دنبال لاغری، کاهش وزن و چربیسوزی هستند. دمنوشها با کمک به افزایش متابولیسم، کاهش اشتها و بهبود هضم میتوانند...
طرز تهیه پودینگ زعفرانی با عطر و طعم بی نظیر
پودینگ زعفران یکی از پرطرفدارترین دسر هاست که هم ساده و سریع است و هم طعمی بینظیر دارد. پودینگ زعفرانی نه تنها برای مهمانیها و دورهمیها انتخاب مناسبی است، بلکه...